近日,能动学院颗粒多相流智能测量与计算研究中心科研团队的最新研究成果“中性浮力球体在圆管泊肃叶流动中的惯性迁移区域“(Inertial migration regimes of a neutrally buoyant sphere in pipe Poiseuille flow)发表在《流体力学》(Journal of Fluid Mechanics)上。博士研究生罗伟乐为论文第一作者,凡凤仙教授为通讯作者,德国杜伊斯堡-埃森大学Eric J. R. Parteli博士、德国埃朗根-纽伦堡大学 Thorsten Pöschel 教授为共同作者。
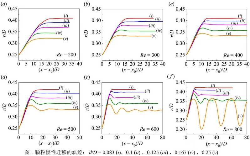
在泊肃叶流中,中性浮力颗粒会发生从初始位置向特定径向位置迁移并最终稳定在该位置的惯性迁移现象,此现象又称为Segré–Silberberg效应。惯性迁移不仅是受限颗粒悬浮流动中经典的流体力学现象,而且在颗粒富集、分离和计数等颗粒调控领域具有重要应用前景。传统研究多关注颗粒最终的径向平衡位置,而针对颗粒动力学行为模式及其物理机制,学界尚缺乏系统性认知。
论文采用流固全解析耦合模拟方法,系统揭示了颗粒惯性迁移动力学行为规律,阐明了单调、过冲、振荡三种惯性迁移模式发生的物理条件,揭示了流体雷诺数和颗粒与管道直径之比对迁移模式转变、最终径向平衡位置、入口段长度的影响机制,为受限颗粒悬浮流动的调控提供了重要理论依据和新思路。


论文相关原理图
能动学院颗粒多相流智能测量与计算研究中心在国家“两机”专项、国家自然科学基金等项目支持下,广泛深入开展颗粒多相流的各类基础与应用研究,近年来在《物理评论快报》(Physical Review Letters)、《化学工程科学》(Chemical Engineering Science)、《气溶胶科学杂志》(Journal of Aerosol Science)等相关领域顶级与权威期刊上发表论文近百篇。
《流体力学》(Journal of Fluid Mechanics)是英国剑桥大学出版社旗下的核心期刊,由著名流体力学大师George K. Batchelor于1956年创办,长期刊载流体力学领域最前沿的理论与应用研究成果,是业界公认的流体力学领域顶级期刊。
论文链接:https://doi.org/10.1017/jfm.2026.11211







